基于吸液驱气过程的多孔材料表征方法
基于吸液驱气过程的多孔材料表征方法
2015-10-24 12:47
吸液驱气法是一种以润湿性液体自发的在多孔材料中扩散,同时非润湿性气体被驱出来的现象为基础,通过测量驱气量和驱气速率随时间变化来表征孔结构参数的方法。其现象如图1所示:
图 1 碳分子筛(左)与沸石分子筛(右)吸液驱气现象
本课题组根据吸液驱气法原理构建了恒容吸液驱气测量方法和实验装置。第1代和第2代恒容吸液驱气装置分别如图2和图3所示。与第1代装置相比,第2代装置增加了吸附剂原位处理系统和低温检测控制系统,并采用触摸屏操作控制模式。
图2 吸液驱气装置(第1代)
图3 吸液驱气装置(第2代)
恒容吸液驱气测量系统的实验流程示于图4。
图4 吸液驱气实验流程图
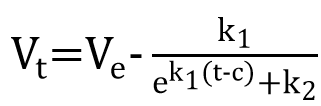
对于吸液驱气系统,当气体和液体探针的外扩散被消除,主要的动力学阻力归因于液体分子自微孔的进入,气体分子从微孔内排出以及流体分子在孔内的表面吸附时,微孔吸附剂吸液驱气过程的驱气动力学可以由如下方程(参见论文5)。
其中Vt是 t时刻的驱气量 (mL·g-1), Ve是平衡驱气量 (mL·g-1), k1是微孔扩散速率常数(s-1), k2是吸附速率常数(g·mL-1·s-1), t是时间 (s) , c是积分常数 (s)。
典型多孔材料样品的吸水驱N2行为例见图5,相应的动力学参数见表1。
图5 不同多孔材料样品的吸水驱N2行为
表1 不同多孔材料的吸水驱N2动力学参数
Adsorbent |
AC |
CMS |
ZSM |
Ve/mL∙g-1 |
4.630 |
5.809 |
2.822 |
k1/ s-1 |
1.65E-02 |
8.08E-03 |
6.14E-04 |
k2/g∙mL-1∙s-1 |
8.82E-07 |
9.6E-04 |
3.11E-06 |
c/s |
260.79 |
969.99 |
12571.25 |
R2 a |
0.8128 |
0.9989 |
0.9939 |
RSS b |
4.45E-03 |
2.11E-03 |
4.72E-04 |
a Correlation coefficient
b Residual sum of squares
主要技术特点:
1.一种表征多孔材料孔隙结构和表面性质的新方法。相对于传统的气体物理吸附法,本法在接近常温和常压下操作,具有简单、快速、准确特点。适用于包含介孔、微孔和超微孔的多孔材料体系。
2.对不同气体探针-液体探针-多孔材料体系具有广泛适用性,从而提供多孔材料丰富的孔结构和表面性质信息,包括动力学信息和热力学信息。
应用案例:
1.炭分子筛产品原位检测
在炭分子筛的现行工业生产中,炭分子筛的微孔结构调节是通过化学气相沉积反应实现的,反应终点的控制完全凭经验,检测方法是将设备停火降温至常温后,取出产品进行变压吸附空分测定。当产品质量偏离目标值时,须将产品回炉加工,降低生产效率,增加耗能和生产成本。
吸液驱气法具有样品用量少、耗时短、可随时监测、精确性高等优点。本课题组利用吸液驱气法建立了不同性能炭分子筛吸液驱气数据库。利用本方法和数据库,通过在炭分子筛调孔生产阶段的原位取样和快速分析,实现生产过程的实时监控,在实现产品质量最优化控制的同时,大幅降低生产成本,提高生产效率。
发明专利:
1.利用吸液驱气法获得吸液驱气速率曲线的方法和装置:CN 200810012598.0,授权公告号:CN 101354333B.
2.一种基于吸液驱气原理测定炭分子筛变压吸附气体分离性能的方法:CN 201510579605.5,授权公告号:CN 105203440B.
3.一种基于吸液驱气过程表征多孔材料微孔结构的方法:CN 201810026994.2,授权公告号:CN 108345766B.
学术论文:
1. Yanmin Su, Shaoping Xu, Jifeng Wang, Ronglin Xiao, Lianhai Lv. Spontaneous liquid-gas imbibition method for characterization of carbon molecular sieves. Journal of Colloid and Interface Science, 2012,377 (1): 416-420.
2.苏艳敏,徐绍平,王吉峰,刘万祝,肖荣林,欧阳少波。活性炭的微孔结构对其选择吸附CH4/N2混合气中CH4的影响。
天然气工业,2013,33(3):89-94.
3. Yanmin Su, Shaoping Xu, Jifeng Wang, Ronglin Xiao, Lianhai Lv. Characterization of Carbon Molecular Sieves Using Spontaneous Liquid-Gas Displacement. Extended abstracts, Carbon Conference, Shanghai, China, 2011.
4. Xinyu Jia, Shaoping Xu, Yuanyuan Cong. Kinetics of spontaneous liquid-gas imbibition in carbon molecular sieves used for O
2 /N 2, separation. Microporous & Mesoporous Materials, 2017,241:185-191.
5. Li, W., S. Xu and C. Lu, Kinetics of spontaneous water-N2 imbibition in carbon molecular sieves. Journal of colloid and interface science, 2019. 535: p. 28-32.
